Zusammenfassung
Dieser Artikel gibt Empfehlungen für Server- sowie Client-Systeme in Bezug auf die zu verwendende Hardware. Diese Empfehlungen sind nicht als Mindestvoraussetzungen zu sehen, sondern beschreiben ein funktionierendes SwyxWare VM-Sizing für typische Nutzungsszenarien.
Generelle Informationen
Die Empfehlung für den SwyxServer ist abhängig von der Anzahl der SwyxWare-Benutzer, der Anzahl der Rufe je Stunde sowie von der Anzahl aller registrierten Namenstasten.
Der Leistungsbedarf der Dienste SwyxGate, SwyxLinkManager, SwyxRemoteConnector und SwyxFaxServer ist im Wesentlichen abhängig von der Anzahl der gleichzeitigen Verbindungen, die über den jeweiligen Dienst abgebildet werden.
Ein typisches Nutzungsszenario auf deren Basis die Systemanforderungen in diesem Artikel definiert sind, lässt sich wie folgt beschreiben.
- Im Durchschnitt haben alle Benutzer zwei Geräte (Hardware oder Software) gleichzeitig angemeldet, z.B. ein SwyxPhone und eine Swyx Mobile App.
- Benutzer haben ca. 10 Kurzwahlen konfiguriert, die Präsenzinformationen anzeigen.
- Das Verhältnis der Anzahl der angemeldeten Benutzer zur Anzahl der aktiven Anrufe beträgt 10/1. Beispiel: Bei einer SwyxWare-Installation mit 150 Benutzern sind in der Regel 15 Anrufe gleichzeitig aktiv sein.
- Etwa 10% der angemeldeten Benutzer verwenden mobile Clients über den Remote Connector Service.
- SwyxWare ist auf einem Server mit den folgenden Komponenten installiert
- SQLExpress
- SwyxWare Server (alle Dienste)
- Push-Benachrichtigungsdienst
- Swyx-Kontrollzentrum
Bei den hier angegebenen Anforderungen für einen SwyxWare Server wird von einem Windows Serverbetriebssystem mit Desktopunterstützung ausgegangen. Wenn ein Windows Server Core verwendet wird, kann die RAM-Empfehlung in der Regel um ein GB reduziert werden.
Die Ressourcenempfehlungen werden in Form von Anzahl der CPU-Kerne, RAM und Festplattenspeicher angegeben, ohne eine exakte Prozessor-Hardware zu definieren, da die meisten neuen SwyxWare-Installationen in virtuellen Maschinen bereitgestellt werden. Wenn Sie SwyxWare noch nicht virtualisiert betreiben, stellen Sie sicher, dass Sie einen modernen Prozessor verwenden, der für die Server-Nutzung ausgelegt ist.
Die Empfehlungen in diesem Dokument beschreiben Werte für die Dimensionierung der gesamten SwyxWare-VM und gehen davon aus, dass die VM nur für SwyxWare und deren Komponenten verwendet wird. Bei dem Einsatz von VisualGroups sind die gesonderten Anforderungen an den Server zu beachten.
Bitte beachten Sie, dass MS SQL Express max. 10 GB in der Datenbank verwalten kann. Sollten Ihre Anforderungen darüber hinaus liegen, dann müssen Sie eine MS SQL Server Edition nutzen.
Bitte beachten Sie, dass in virtualisierten Umgebungen der Ressourcenverbrauch stark vom tatsächlichen Nutzungsszenario abhängt. Daher empfehlen wir dringend, Ihre SwyxWare-VM gemäß unseren Richtlinien und den Empfehlungen des Virtualisierungs-Anbieters zu konfigurieren und dann die VM-Ressourcen zu messen, während die Software in der Produktion eingesetzt wird. Passen Sie die VM-Konfiguration bei Bedarf an, um die Ressourcennutzung zu optimieren.
Trotzdem wird empfohlen, dass man auf einer nicht- oder virtuellen Serverinstanz exklusiv SwyxWare betreibt.
Bei Installationen mit mehr als 300 Benutzern und/oder mehr als 60 Kanälen wenden Sie sich bitte für detailliertere Empfehlungen zum Hardware-Design an das Swyx Presales Team (+49 231 4777-377 oder presales@swyx.com).
Gleiches gilt auch für den Einsatz in Call-Center-Szenarien, einem hohen Verkehrsaufkommen sowie Standby-Konfigurationen und bei Aufteilung der Dienste auf mehr als einen Server zwecks Redundanz oder Lastverteilung. Wir werden Ihre individuellen Anforderungen gerne mit Ihnen besprechen.
Die im folgenden dargestellten Anforderungen gehen bis zu einer Nutzeranzahl von 1500 Nutzern / Server. Bei dem Einsatz bis zu 2000 Nutzern / Server kontaktieren Sie bitte unser Presales Team, welches Ihnen eine auf Basis der Kundenanforderungen dedizierte Hardwareempfehlung zukommen lässt.
Anforderungen SwyxWare Server
Unterstützte Betriebssysteme
Eine aktuelle Liste der für die einzelnen SwyxWare 14 Komponenten unterstützten Betriebssysteme finden Sie in Unterstützte Betriebssysteme für SwyxWare Version 14.
Festplattenspeicher
SwyxWare verwendet Festplattenspeicher zum speichern
- von Benutzerkonfigurationsdaten wie der Client-Konfiguration,
- des persönlichen Telefonbuchs,
- Kurzwahltastenkonfiguration,
- Voicemail-Ansagen oder andere Audio-Ansage,
- Call-Routing-Regeln
- empfangene und gesendete Faxdateien
- Klingeltöne und Benutzeroberflächen-Skins
- historische Daten wie Anrufjournale der Benutzer,
- Anrufdetailaufzeichnungen und
- Protokolldateien zur Fehlerbehebung
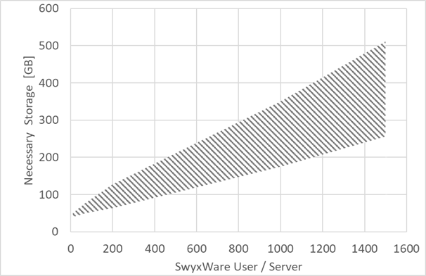
Das folgende Bild zeigt basierend auf typischen Nutzungsszenarien die benötigte Festplattenspeicherkapazität in Abhängigkeit der Nutzerzahl.
Um die Nutzung des SwyxWare-Festplattenplatzes zu überwachen, überprüfen Sie die Größe der SwyxWare-Datenbank und die des SwyxWare-Trace Ordners (Standardspeicherort c:\programdata\swyx\traces)
CPU-Ressourcen
Als allgemeine Richtlinie kann man annehmen, dass je mehr Aufrufe gleichzeitig aktiv sind und je mehr Audio vom Server verarbeitet werden muss, desto mehr CPU-Leistung wird benötigt.
Denken Sie daran, dass bei SIP-Trunks die Audiodaten auch vom LinkMgr-Dienst verarbeitet werden, der auf dem Server läuft. Mobile Endgeräte, die sich nicht im Unternehmensnetzwerk befinden, verwenden Remote-Connector-Tunnelverbindungen, um eine Verbindung zu SwyxWare herzustellen.
Die Auslastung des SwyxFaxServer-Dienstes hängt von der Anzahl der aktiven Faxübertragungen ab.
Wenn Sie erwarten, dass Ihr SwyxWare-System mehr als 60 aktive Anrufe gleichzeitig bearbeitet, kann die CPU-Auslastung des LinkMgr-Dienstes ein begrenzender Faktor sein. Bei einer hohen Anzahl aktiver Anrufe sollten Sie die Installation des LinkMgr in einer separaten VM in Erwägung ziehen.
Wenn Sie davon ausgehen, dass Ihr SwyxWare-System mehr als 10% mobile Benutzer mit Remote-Connector-Tunneln hat, sollten Sie die CPU-Auslastung des Remote-Connector-Dienstes genau überwachen. Verschieben Sie ggf. den Remote Connector Service in eine separate VM.
Die CPU-Auslastung des SwyxServer-Dienstes hängt in der Regel von der Ruffrequenz ab, d.h. die Phase des Verbindungsaufbaus bzw. -abbaus ist der Haupttreiber für die CPU-Auslastung. Bedenken Sie dies, wenn Sie eine hohe Anrufhäufigkeit haben, z.B. in Call-Center-Szenarien.
RAM - Speicher
Das folgende Bild zeigt das Ratio zwischen benötigtem RAM Server - Speicher und Nutzeranzahl für typische Nutzerszenarien.
VisualGroups Erweiterung
Bei dem Einsatz von Swyx VisualGroups gelten erweiterte Anforderungen für den SwyxWare Server, auf dem auch die Service Komponenten von VisualGroups installiert werden müssen.
Grundsätzlich sind beim Einsatz von Swyx VisualGroups die Systemanforderungen abhängig von der Anzahl an VisualGroups Usern.
Die im Folgenden dargestellten Anforderungen sind als zusätzliche zu den oben genannten Serveranforderungen für einen SwyxServer zu verstehen.
Anforderungen SwyxIt! Arbeitsplätze
Für einen Arbeitsplatz können Intel- sowie AMD-Prozessoren zum Einsatz kommen. Aktuelle Prozessoren stellen mehr als ausreichende Leistung für den Betrieb eines SwyxIt! zur Verfügung.
Aber beachten Sie auch hier, dass ein SwyxIt! zeitnah reagieren muss, und daher der Einfluss anderer Applikationen negative Auswirkungen auf die Sprachqualität und das Antwortverhalten haben kann.
Es ist wichtig genügend Arbeitsspeicher (RAM) zu haben um das Auslagern (Swapping) auf die Festplatte zu verhindern - auch wenn zusammen mit SwyxIt! alle anderen Anwendungen auf dem Rechner gleichzeitig laufen.
SwyxIt!
Arbeitsplatz | Windows 10/11 |
Standard-Arbeitsplatz | ab 1 GHz, 2 GB RAM oder mehr |
Zentraler Arbeitsplatz | |
Standard-Arbeitsplatz | |
Zentraler Arbeitsplatz |
Bei diesen Werten handelt es sich um die minimalen Anforderungen (nur Betriebssystem + SwyxIt!, OHNE weitere Anwendungen).
Je mehr weitere Anwendungen Sie parallel benutzen, um so mehr RAM sollte im Rechner installiert sein (abhängig von den Anforderungen der weiteren Anwendungen).
Wenn Sie SwyxIt! auf einem Windows Terminalserver einsetzen möchten beachten Sie bitte auch Speicherverbrauch des SwyxIt! auf Windows Terminalserver (Dieser Artikel ist nur für Swyx Partner verfügbar).
Kommentare
0 Kommentare
Zu diesem Beitrag können keine Kommentare hinterlassen werden.